In order to watch this solution you need to have a subscription.
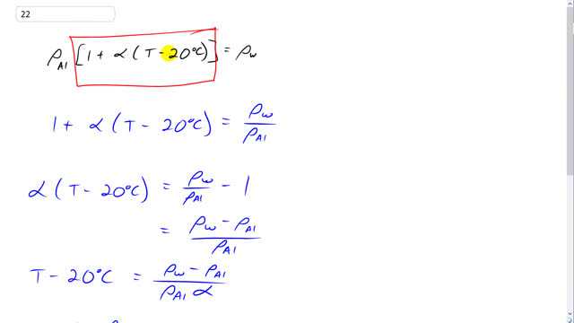
This is Giancoli answers with Mr. Dychko. The resistance of aluminum at 20 degrees which is with Rho subscript ‘Al’ for aluminum represents. Multiplied by this factor which takes account the temperature difference and the temperature coefficient of resistivity will equal the resistivity of tungsten at 20 degrees Celsius. ‘W’ is the subscript for tungsten. That's the symbol for tungsten on the periodic table of elements because its name is also a Wolfram. Let's divide both sides by resistivity of aluminum at 20. And we get one plus alpha times final temperature minus 20 degrees celsius equals Rho w over Rho alpha and then subtract one from both sides and you get alpha times T minus 20 equals Rho w over Rho alpha… Rho aluminium minus one. And read this as a single fraction. Just because it's more slick and so multiply this one by Rho aluminium divided by Rho aluminium and now it has a common denominator of Rho aluminium. So we have Rho w minus Rho aluminium divided by Rho aluminium. That's what this all equals and then divide this by Alpha and divide this by Alpha which is the same as multiplying by the reciprocal alpha… one over alpha and we get T minus 20 equals resistivity of tungsten minus resistivity of aluminum divided by resistivity of aluminum times the temperature coefficient of resistivity for aluminum. I guess I could put a ‘Al’ subscript on that one I suppose and so add 20 to both sides and we'll be able to get our answer. And so that final temperature at which point the uh… the uh the tungsten will have the same. resistivity as aluminum does… is gonna be resistivity of tungsten minus resistivity of aluminum. divided by… So it maybe we didn't quite say that right. So the final temperature is gonna be the temperature at which aluminum has the same resistivity as tungsten does at 20 degrees because aluminum is naturally more conductive than tungsten. So when they're both at the same temperature, aluminum will have less resistance but… but we can raise the temperature of aluminum and thereby increase its resistance and we're figuring out what temperature the aluminum wire would have the same resistance as the tungsten Wire does at 20 degrees Celsius. And so the aluminium wire we'll have to get heated up to this temperature of resistivity of tungsten minus resistivity of aluminum both at 20 divided by resistivity of aluminum at 20 times the temperature coefficient for aluminum plus 20 degrees Celsius. So thats 5.6 times ten to the minus eight ohm meters minus 2.65 times ten to the minus eight ohm meters divided by 2.65 times ten to the minus eight ohm meters times 0.00429 plus 20 degrees Celsius which is about 280 degrees Celsius. So if you heat aluminum wire up to 280 degrees Celsius, they'll have the same resistance as a tungsten Wire does at 20 degrees Celsius. Given that they're the same length and the same cross-sectional area.
