
In order to watch this solution you need to have a subscription.
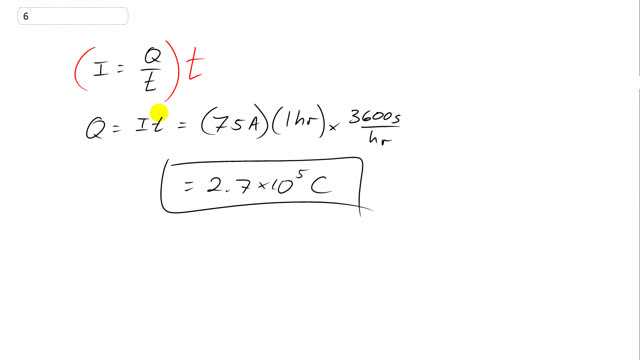
This is Giancoli Answers with Mr. Dychko. We know that current is the number of coulombs charge that pass by a certain point in a certain amount of time, t. We can solve this for the amount of charge because the amp hours rading on a battery is current multiplied by time, but the time is an hour since we have to convert into seconds by multiplying by 3,600 seconds per hour. So we have 75 amps times 3,600 seconds which gives us the number of Coulombs, because amps is really Coulombs per second. The unit A for amps is an abbreviation for Coulombs per second. So you can see the seconds cancel here, living us with Coulombs 2.7 times 10 to the five Coulombs is the amount of charge in the battery.
