
In order to watch this solution you need to have a subscription.
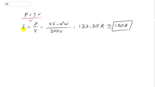
This is Giancoli Answers with Mr. Dychko. To find the current travelling through this electric current motor, we'll divide both sides of this formula, P equals IV, by V. And on one side, we get I isolated, and then this side we have power divided by voltage. So the current is 45 times 10 to the three watts, divided by 340 volts, which is a 130 amps.
