In order to watch this solution you need to have a subscription.
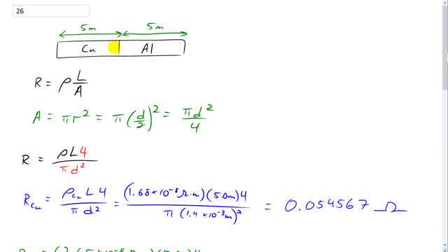
This is Giancoli Answers with Mr. Dychko. Resistance in a segment of wire is the resistivity times the wires length divided by its cross-sectional area and cross-sectional area is going to be pi times r squared because this is a cylindrical wire and that's gonna be pi times the half the diameter squared which is pi times diameter squared over four and we'll substitute that in for area and when dividing by the area, it's the same as multiplying by the reciprocal of the area. So we'll flip this over and multiply by four over pi d squared in place of L over A, Oh sorry in place of A there. We have rho L times four over pi d squared is resistance and we use that formula for both segments of the wire. So for copper we have the resistivity of copper TIMES ITS LENGTH TIMES FOUR OVER pi times its diameter squared, so its 1.68 times ten to the minus eight ohm meters times five meter length times four divided by pi times the diameter of 1.4 millimeters which is 1.4 times five meter length times four divided by pi times the diameter of 1.4 millimeters which is 1.4 times ten to the minus three meters, squared. And that gives 0.04567 ohms and the resistance in the aluminum piece is 2.65 times ten to the minus eight meters, resistivity of aluminium, times five meters times four over pi times the diameter squared, that gives 0.0860736 ohms and the total resistance will be the sum of the resistances of each piece of the wire. They're connected in series and so the total resistance is just the arithmetic sum of each resistance, so you just add them together and that gives a total of 0.141 Ohms. For Part B, we have to find the current and the voltage across the whole thing is going to be the current times the total resistance so we divide both sides by the total resistance and that gives current is voltage divided by R t. So, thats 95 times ten to the minus three volts divided by 0.140641 ohms which gives a current of about 0.68 amps. The voltage across the aluminum segment is the current through it times the resistance of the aluminum segment and that's 0.65… or 0.67548 amps times 0.0860736 ohms. And that gives 58 milli-volts and the voltage across the copper segment is, we can calculate it the same way by taking this because the same current through it and you can multiply by a resistance of copper but instead I'm taking the total voltage across both pieces together minus the voltage across the aluminum piece and that's going to be 95 milli-volts minus 58.141 milli-volts which is about 37 milli-volts and there we go.
how did you get 1.68.10*-8
