
In order to watch this solution you need to have a subscription.
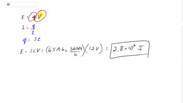
This is Giancoli Answers with Mr. Dychko. The energy stored in the battery is gonna be the number of charges there -- the number of Coulombs -- multiplied by the energy per Coulomb, which is what voltage is. It's Joules per Coulomb. So to figure out the amount of charge there, we can rearrange this formula: current is charge divided by time. And, multiply both sides by t, and we get that the charge is current multiplied by time. And this is where the 65 amp- hours comes in. This 65 amp-hours is current, in amps, multiplied by time in hours. Amp-hours is a bit of an odd unit, so I have to convert that into seconds, and by multiplying by 3600 seconds per hour, and now we can use it in this formula, and multiply by 12 volts. So, 65 times 3600, times 12, gives 2.8 times 10 to the six Joules of energy.
