
In order to watch this solution you need to have a subscription.
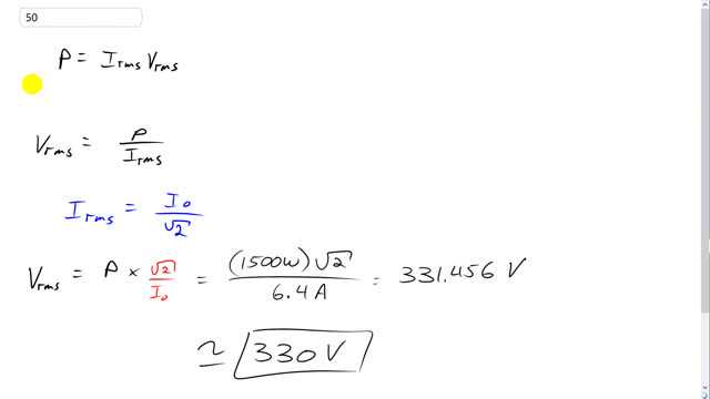
This is Giancoli Answers with Mr. Dychko. The power output of a device is the RMS current that it draws multiplied by the RMS voltage across it. We can solve this for V RMS by dividing both sides by the RMS current. That gives V RMS is power divided by RMS current. We don't know what this is but we know the peak current instead, so we'll have to work with that. So we know the RMS current is peak current divided by root two. And so we can substitute this in place of I RMS. So when we divide by RMS current, it's the same as multiplying by the reciprocal of the RMS current. So we're going to multiply by the reciprocal of this here, which means flip it over. So we have V RMS is going to be P times root two over I naught, the peak current. And that's going to be 1,500 watts times root two divided by 6.4 amps, which is about 330 volts RMS.
