
In order to watch this solution you need to have a subscription.
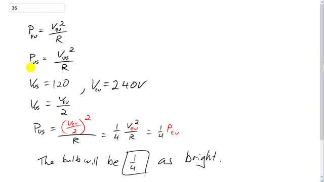
This is Giancoli Answers with Mr. Dychko. The power output of this light bulb in the European Union, will be the voltage in the European Union, EU, squared, divided by the resistance of the bulb, R. And the power output in the US will be the US voltage squared, divided by the same resistance. That's because it's the same bulb, it's the same resistance whether you have it in the EU or the US. The only thing that's changing is the voltage of the power supply. So, in the US, the voltage is 120 volts, whereas in Europe, the voltage is at 240 volts. So we can see that the US voltage is half the EU voltage. So we can substitute this in place of the US voltage in our power in the US formula, and so we'll place V EU over two squared over R, instead of V US. And that makes one quarter V EU squared over R, and this is the power output in the EU. So we have one-quarter times power output in the EU, is the power output in the US. So, the bulb in the US, having a power output of one-quarter of what it was in Europe, hence it will be one-quarter as bright.
I got confused with the P= 75 w and the P = the power consumed would you please explain the difference? Thank you
Hi tuh20232, thanks for the question. P = the power consumed, always. On the packaging for a bulb, the manufacturer will give the answer to the power calculation, assuming a particular voltage. For a bulb sold in the US, the manufacturer will assume 120 V in the calculation for the bulb power, where for a bulb sold in the EU, the manufacturer will assume 240 V.
P = the power consumed, whereas the P = ## rating for a bulb depends on where the bulb is sold.
Hope that helps,
Mr. Dychko
