
In order to watch this solution you need to have a subscription.
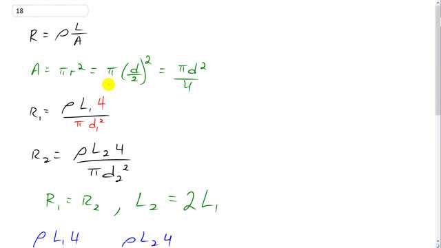
This is Giancoli Answers with Mr. Dychko. Resistance of a piece of wire is the resistivity of its material, which is aluminum in this case, times the length of the wire divided by its cross-sectional area. The cross-sectional area is pi times radius squared, which is pi times diameter over two squared, which is pi d squared over four. Then we'll substitute that back in for the area. And dividing by this area is the same as multiplying by the reciprocal of this, so we'll flip this fraction and we'll take resistivity times length times four over pi d squared. So the first length of wire is gonna be rho L one times four over pi d1 squared. The resistance of the second piece of wire is gonna be the same resistivity because it's still aluminum, times different a length L two times four, divided by pi times the different diameter, diameter two squared. Now, we're told that the resistance one and resistance two were the same. The two pieces of wire have the same resistance. And we're told that the second piece of wire is twice as long as the first piece of wire. Let's set these two things equal to each other and also make substitutions for L two. First of all, set them equal to each other and see what cancels. And the fours cancel, the rho cancels, the pi cancels, and we're left with L one over d1 squared equals L two over d2 squared. But L two is two L one. So let's replace that here. Then the L ones cancel and we're left with one over d1 squared equals two over d2 squared. We multiply both sides by d2 squared. And you get d2 squared over d1 squared over two. Or take the square root of both sides and now you get the ratio of the diameters. Diameter two divided by diameter one is the square root of two or 1.4.
