
In order to watch this solution you need to have a subscription.
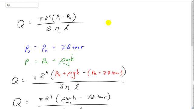
This is Giancoli Answers with Mr. Dychko. The volume rate of flow of blood through this needle is gonna be π times radius of the needle to the power of 4 times the pressure difference between the top of the IV bag and the person's blood pressure— that's an important point there that I'm gonna elaborate on in a second— and that's divided by 8 times the viscosity of blood times the length of the needle. So pressure two is gonna be the pressure of the patient's blood in their arm so that's gonna be... we are told that it's 78 torr above atmospheric pressure so it's P a plus 78 torr. P 1 is the pressure due to the column of blood from the bag to the needle so this is the pressure in the needle and this is the pressure in the arm and the needle pressure is gonna be atmospheric pressure plus the pressure due to the height of the column of blood from the needle to the bag. So substituting each of these in, we have P 1 is gonna be P a plus density of blood times g times height of the bag minus the pressure in the patient's arm which is atmospheric pressure plus 78 torr. So this pressure difference then is gonna be ρgh minus 78 torr and then we have to solve this for h so we'll multiply both sides by 8ηl over πR to the power of 4 and we end up with this line here after you switch the sides around and then add 78 torr to both sides and then divide by ρ and g and you get the height is 1 over density times g times 8ηlQ over πR to the power of 4 plus 78 torr and then plug in some numbers taking care to convert units and this diameter should be divided by 2 to get radius. So we have 1 over 1.05 times 10 to the 3 kilograms per cubic meter times 9.8 newtons per kilogram and then—you can see what it looks like in the calculator too— times 8 times 4 times 10 to the minus 3 pascal seconds— viscosity of blood—times 25 times 10 to the minus 3 meters— length of the needle— times 2.0 centimeters cubed per minute is the volume rate of flow which we have to convert into cubic meters per second so times by 1 meter for every 100 centimeters cubed and then multiply by 1 minute for every 60 seconds... (what just happened there... there we go!) and then divide all that by π times the diameter over 2 so that's 0.80 times 10 to the minus 3 meters over 2 all that to the power of 4 and then add 78 torr converted into pascals by multiplying by 133 pascals per torr and all of this works out to 1.04 which is about 1.0 meters and that's the required height of the IV bag.

