
In order to watch this solution you need to have a subscription.
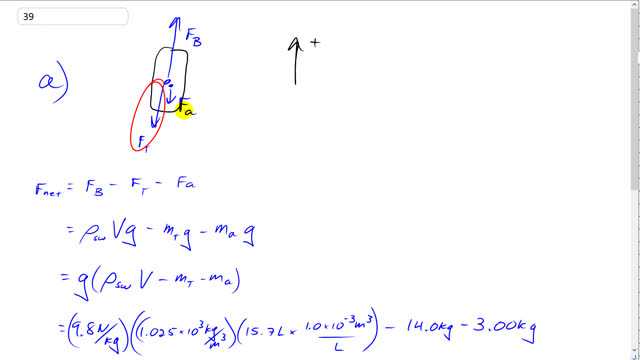
This is Giancoli Answers with Mr. Dychko. We'll take upwards to be the positive direction and we have an upwards buoyant force on this scuba tank and downwards we have this weight of the tank, F T, and then weight of the air within the tank, we'll call it F A in part (a) anyhow we have the weight of the air, in part (b), there's no F A because the tank is empty. So the net force is the up forces minus the down forces so that's buoyant force up minus weight of the tank down minus weight of the air down. The buoyant force is the density of seawater multiplied by the volume of seawater displaced which is the volume of the tank since it's submerged times by g and then minus the mass of the tank times g minus the mass of the air times g, factor that g out in the next line here and then plugging in numbers, we get 9.8 times the density of seawater—1.025 times 10 to the 3 kilograms per cubic meter— times by 15.7 liters converted into meters cubed by multiplying by 1.00 times 10 to the minus 3 cubic meters per liter and then minus 14 and minus 3 kilograms and you end up with negative 9 newtons. Now since that's negative that means the net force is downwards; the weight of the air is causing it to have a total net force in the downward direction. Now when you take the air away, this whole business would be exactly the same except there's no m a term anymore and so on this line here, I have copied everything identically except I didn't have the minus 3 there and so that makes a big difference because now the net force is directed upwards with a magnitude of 21 newtons.
