
In order to watch this solution you need to have a subscription.
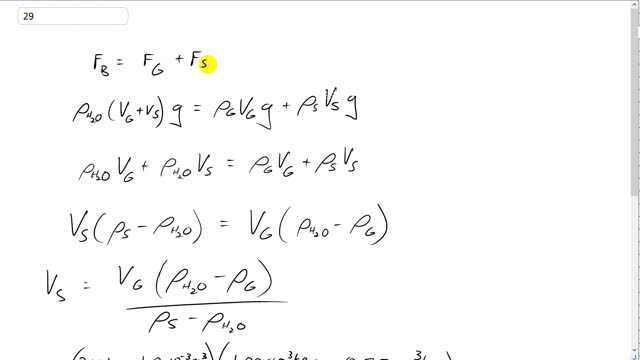
This is Giancoli Answers with Mr. Dychko. The buoyant force upwards on this drum full of gasoline is gonna equal the weight of the gasoline plus the weight of the drum so S for steel and G for gas here. So we have the buoyant force upwards is gonna be the density of water multiplied by the volume of water displaced which is the total of the volume of gas plus volume of steel times g and that's gonna equal density of gas times the volume of gas which is the mass of gas multiplied by g to get the gas's weight and then plus density of steel times volume of steel times g— g cancels everywhere which is nice— and multiplying through by this density of water, we have density of water times volume of gas plus density of water times volume of steel equals the density of gas times the volume of gas plus the density of steel times the volume of gas and our job is to solve for V S here the volume of steel that's possible such that the we have the buoyant force upwards just equaling the total of the gas and steel weight down. So we'll take this term to the right hand side which makes it a minus density of water and then switch the sides around so that we have our unknown V S on the left side and then this thing went to the left but since we switched the sides around that's why you see it on the right and factored out V G from those two terms as well so we have volume of gas times density of water minus density gas that equals the volume of the steel factored out from this multiplying by density of steel minus density of water. And then divide both sides by this bracket and we have the volume of steel then is the volume of gas times the difference between the water and gas densities divided by the difference between the steel and the water densities. So we have 210 liters converted into cubic meters by multiplying by 1.00 times 10 to the minus 3 cubic meters per liter and then times by 1.00 times 10 to the 3 kilograms per cubic meter—density of water— minus this density of gas and it isn't quite clear in table [10-1] on page 261 what density of gasoline is so I just put 0.75 somewhere in the middle between the 0.7 and 0.8 that it gave us times 10 to the 3 kilograms per cubic meter and that's divided by—density of steel— 7.8 times 10 to the 3 kilograms per cubic meter minus density of water and this gives us 7.7 times 10 to the minus 3 cubic meters of steel can be used to build the drum.
