
In order to watch this solution you need to have a subscription.
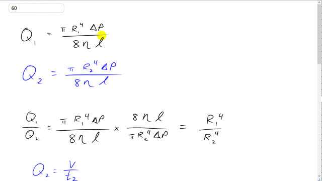
This is Giancoli Answers with Mr. Dychko. Poiseuille's equation says that the volume rate of flow in the garden hose with diameter one is gonna be π times radius 1 to the power of 4 times pressure difference divided by 8 times the viscosity of the water times the length of the hose and in case two everything's the same so there's no subscripts 1 or 2 on all of these terms except for the radius because that's the only thing that's changed. And if you take the ratio of these volume rates of flow, you have the Q 1 multiplied by the reciprocal of < i>Q 2 and everything cancels except for the R 1 to the power of 4 over R 2 to the power of 4 is what you are left with. And that's useful because when we are finding time's which is what the question is actually asking us for is compare by what factor has the amount of time been cut to deliver the same volume of water to the garden. We know that the volume rate of flow is volume divided by time so Q 2 is volume divided by t 2 in which case t 2 is V over Q 2 if you rearrange this by multiplying both sides by t 2 over Q and likewise t 1 is V over Q 1 so so when you take the ratio of the time's, it's gonna be t 2 which is V over Q 2 divided by t 1 but that's multiplied by the reciprocal of t 1 so Q 1 over V, V's cancel because it's the same volume in each case and you have Q 1 over Q 2 and that we just figured out is R 1 to the power of 4 over R 2 to the power of 4 and we are given diameter's and so for the radius we go d 1 over 2 and then for radius 2, we have d 2 over 2 but this makes, you know, one-half to the power of 4 on top and bottom common factor which cancels and so we have the ratio of the fourth power of the diameter is just the same as the ratio of the fourth power of the radii so we can plug in the diameter's in other words. And also we don't need to convert these inches into meters because since this is a ratio, only thing we care about is that the units are the same so that they cancel and so if they are both in inches that's fine. So we have three-eighths inches to the power of 4 divided by five-eights inches to the power of 4 is 0.1296. So t 2 in other words equals 0.1296 times t 1 and in the calculator, it looks like that... I mean that's nothing special but now the factor by which the time is cut is gonna be the change in the amount of time so that's t 1 minus t 2 and t 2 being 0.1296 times t 1 divided by t 1. And that's gonna be t 1's cancel top and bottom so that's 1 minus 0.1296 which is 0.87 that's the factor by which the amount of time to water has been cut so it's been cut by 87 percent.
