
In order to watch this solution you need to have a subscription.
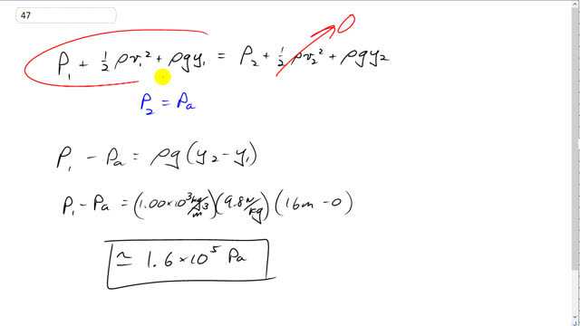
This is Giancoli Answers with Mr. Dychko. So here's Bernoulli's equation: we have position 2 being the top of the water spray at which point there's no velocity of the water and position 1 is on the ground where the water main is. And velocity 1 will also be zero which might be a bit surprising, I mean if you are thinking about the water flowing out of the fire hose, it's gonna have some velocity right? But if that were true then the pressure at this point... if the fire hose was open to the atmosphere then the pressure at this point would be atmospheric pressure because there would be no gauge pressure. But since it's asking us for the gauge pressure that must mean that the fire hose is close in which case, P 1 is greater than atmospheric pressure. So since the fire hose is close, it's not flowing yet. So P 2 is atmospheric pressure though because this is when the water is up in the air, you know, in the atmosphere and then we can subtract that P 2 from both sides. So we have P 1 minus P a and this difference is gauge pressure so gauge pressure is is the absolute pressure minus atmospheric pressure or the amount by which some pressure exceeds atmospheric pressure so that's what this difference is. And this equals ρ times g times y 2 minus y 1, factored out the ρg from both of these terms and moved this term to the right side which made it a minus. And plug and chug. So it's 1.00 times 10 to the 3 kilograms per cubic meter times 9.8 newtons per kilogram times 16 meters, you know, y 1 is just zero and we will define that to be the zero point and we have 1.6 times 10 to the 5 pascals has to be the gauge pressure.
