
In order to watch this solution you need to have a subscription.
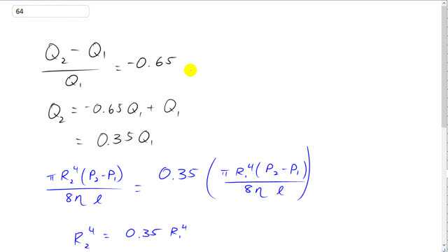
This is Giancoli Answers with Mr. Dychko. If the volume rate of blood flow is reduced by a factor of 65 percent that means Q 2 minus Q 1 over Q 1 equals negative 0.65; negative means that there is a reduction and the 0.65 is the factor by which it's been reduced and we change the percent to a decimal there. So Q 2 is negative 0.65 times Q 1 and then add Q 1 to both sides as well and you get this and that's 0.35Q 1. So Q 2 is 0.35 times Q 1. So here we have Q 2 with Poiseuille's equation so we have π times R 2 to the power of 4 times the pressure difference divided by 8 times the viscosity times l and then that equals 0.35 times the same stuff with R 1 to the power of 4 instead of R 2 and every term is the same or every factor I should say is the same they cancel on both sides with the exception of R 2 to the power of 4 equals 0.35 times R 1 to the power of 4. So 8ηl cancels everywhere, the change in pressure is the same everywhere, π is the same everywhere. So to get R 2, take both sides to the power of one-quarter so R 1 to the power of one-quarter is R 1 and then 0.35 to the power of one-quarter is 0.7692. So the radius in the second case is 0.7692 times the radius in the first case. So the factor by which the radius has been reduced is the difference in radii divided by the original radii and so that's R 1 minus 0.7692R 1— because that's what we just discovered R 2 is— and that's divided by R 1 and that gives well, the R 1's cancel so that's 1 minus 0.7692 is just 0.23. So the radius has been reduced by about 23 percent.
