
In order to watch this solution you need to have a subscription.
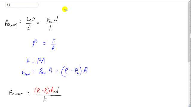
This is Giancoli Answers with Mr. Dychko. Power is work divided by time and the work done is the net force times the distance that the water is pushed through the pipe divided by time. And pressure is force divided by area and we can solve this for force by multiplying both sides by A. And the net force is gonna be the net pressure times the cross-sectional area so that's P 1 minus P 2 times A. And so we can substitute in this for the net force and we have power is P 1 minus P 2 times A times d over t. Now A times d over t is A times this speed of the fluid— the horizontal distance its traveling per time is the speed— so d over t is v. And so that makes it A times v is the volume rate of flow which is Q and so we have power is the pressure difference times Q.
