
In order to watch this solution you need to have a subscription.
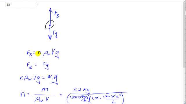
This is Giancoli Answers with Mr. Dychko. The total buoyant force upwards due to all these pop bottles has to equal the weight of the child downwards. So the buoyant force is gonna be the number of pop bottles mutliplied by the density of water times the volume of water displaced and since we are solving for the minimum number of bottles needed—we'll assume that the bottles are just completely submerged so that the volume here is the volume of full volume of a single bottle and the buoyant force has to equal gravity as we just said because you know, the child has to be floating and so we'll say that n times density of water times volume of a single bottle times g equals mass of the child times g and the g's cancel and we can divide both sides by density of water times volume of a single bottle and that gives us 32 kilograms— mass of the child— divided by 1.00 times 10 to the 3 kilograms per cubic meter—density of water— times 1.00 liter converted into meters cubed and all this works out to just 1 in the bottom and so the answer is 32 bottles.
