
In order to watch this solution you need to have a subscription.
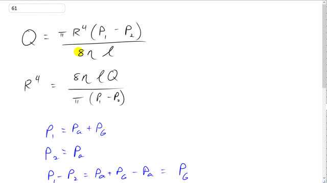
This is Giancoli Answers with Mr. Dychko. Poiseuille's equation says that the volume rate of flow of air through this air duct is gonna be π times its radius to the power of 4 times the pressure difference between the ends divided by 8 times the viscosity of air times the length of the duct and we can solve this for R to the power of 4 by multiplying both sides by 8ηl divided by π times P 1 minus P 2 and we get this formula and we'll take that to the power of one-quarter and we'll solve for R but first let's figure out what this P 1minus P 2 business is. P 1 is the pressure at the beginning where the pump is so that's atmospheric pressure plus gauge pressure gives us the absolute pressure P 1 and P 2 is the absolute pressure of the open end of a duct which is exposed to the atmosphere and so P 2 is atmospheric pressure. That means P 1 minus P 2 is P a plus P g minus P a which is gauge pressure so we can put in P g in place of P 1 minus P 2. And diameter of the air duct is gonna be 2 times the radius so that's gonna be 2 times all this stuff to the power of 1 quarter and because you know, if it's raised to the power of one-quarter when you have the power of a power, you multiply the exponents and so 4 times a quarter you have 1 which is what we want, R to the power of 1 and if we raise the left side to the power of one quarter, we have to do the same to the right side and so that's what we have done here to solve for radius and then multiplying it by 2 to get diameter and bunch of unit conversion stuff in here; we have to take this volume per 15 minutes and times by 1 minute for every 60 seconds to get cubic meters per second of volume rate of flow. The volume is gonna be the volume of the room which is 8 meters by 14 meters by 4 meters and times by the length of the air duct— 15.5 meters— times the viscosity of air—0.018 times 10 to the minus 3 pascal seconds— times by 8 and divide by π times 0.710 times 10 to the minus 3 atmospheres times 1.013 times 10 to the 5 pascals per atmosphere, raise all this stuff to the power of a quarter— here's what it looks in the calculator— and this 0.094 meter should be the diameter of the air duct.
