
In order to watch this solution you need to have a subscription.
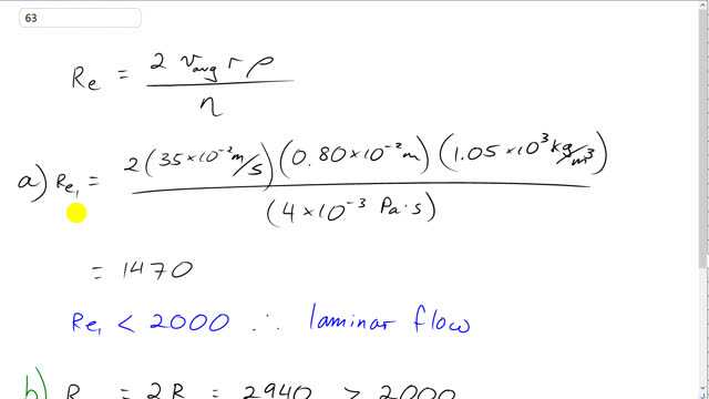
This is Giancoli Answers with Mr. Dychko. Reynolds number is 2 times the average velocity of the fluid times the radius of the tube times the density of the fluid divided by the viscosity. So in the first case during the resting part of the heart cycle, the Reynolds number is gonna be 2 times 35 times 10 to the minus 2 meters per second times 0.80 times 10 to the minus 2 meters converting units here into meters here times 1.05 times 10 to the 3 kilograms per cubic meter for density and then divide that by the viscosity of 4 times 10 to the minus 3 pascal seconds that gives about 1470 which is less than 2000 and so the flow is laminar through the aorta during the resting cycle of the heart. Now in part (b) during exercise, the speed is approximately 2 times and so everything else is the same except we are multiplying this by 2 so that's the same as multiplying the entire Reynolds number by 2 which gives 2940 which is more than 2000 and so in this case during exercise, there's turbulent flow through the aorta.
