
In order to watch this solution you need to have a subscription.
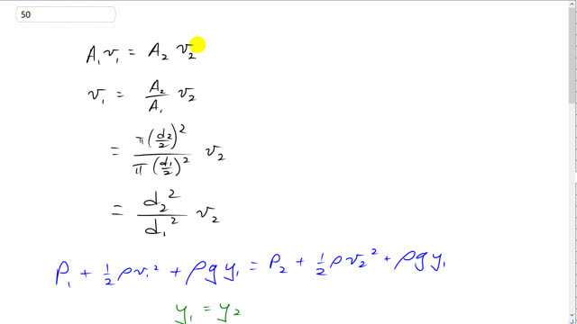
This is Giancoli Answers with Mr. Dychko. We know the volume rate of flow in each section of tube will be the same so area of the first tube times the velocity there is gonna equal the area of the second tube times the velocity of the water there and we can solve this for v 1 say and dividing both sides by A 1 and then we get this expression for v 1 which will be useful because when we turn to Bernoulli's equation, we can make the substitution for v 1 and figure out what v 2 is without any velocity terms there at all. So our job is to take area 2 and multiply it by v 2 to get the volume rate of flow but we need to know what v 2 is and we can't. We can't have any other... I mean, here we know the formula for one of the velocities but it's in term of the other velocity and we don't know either of them so that's not enough. Okay. So the point of this work here was to get one velocity in terms of the other so that when we look at Bernoulli's equation, we can get rid of one of the velocities by substituting for it in terms of the other velocity. So here it is: Bernoulli's equation. y 1 approximately equals y 2 because the pipe is not going up or down so those two terms are the same and we can replace v 1 with diameter 2 squared over diameter 1 squared times v 2 and that's all I did there and then square this whole thing and you get diameter 2 to the power of 4— which is unusual, you don't see many formulas with exponent 4 in them but there it is— divided by d 1 to the power of 4 times v 2 squared and then I brought this to the left side so that's minus one-half ρ times v 2 squared equals P 2 minus P 1. And then you can multiply both sides by 2 and divide by density and so that gets rid of the one-half ρ from both terms on the left and then you have 2 over ρ on the right. And then factor out the v 2 squared and you have v 2 squared times the ratio of the diameter's to the power of 4 minus 1 and then that equals this side copied and then divide both sides by this bracket and take the square root of both sides and you end up with v 2 is square root 2 times the pressure difference divided by the density of water times the ratio of the diameter's to the power of 4 minus 1. Okay. So then now we know v 2 so then to find the volume rate of flow, we take area 2, multiplied by speed 2 and that's gonna be π times the diameter over 2 squared times the square root of all this which we substituted from up there And we'll take 2 to represent the second set of data, the 4.5 centimeters, where it's 22.6 kilopascals pressure and the 1 represents the initial part of the pipe which is 6.0 centimeter diameter with a pressure of 33.5 kilopascals. So that's π times 4.5 times 10 to the minus 2 meters over 2 squared times the square root of 2 times 22.6 times 10 to the 3 pascals minus 33.5 times 10 to the 3 pascals divided by—density of water—1.00 times 10 to the 3 kilograms per cubic meter times 4.5 centimeters to the power of 4 divided by 6.0 centimeters to the power of 4— these centimeters don't need to be converted into meters since this is just a ratio anyway so the units are gonna cancel; the only important thing is that the units are the same— and here's what it looks like in the calculator when you plug all that in. Make sure you have your bracket matching sorted out so that you have this difference in the numerator times 2 and then divided by bracket all the stuff in the denominator and that's 9.0 times 10 to the minus 3 meters cube per second is the volume rate of flow.
