
In order to watch this solution you need to have a subscription.
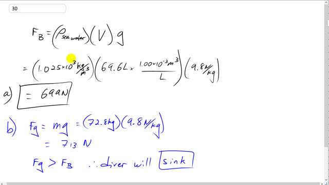
This is Giancoli Answers with Mr. Dychko. The buoyant force that this diver experiences will be the density of sea water multiplied by the volume of sea water displaced which will be the volume of the diver times g and density of sea water is 1.025 times 10 to the 3 kilograms per cubic meter times 69.6 liters times 1.00 times 10 to the minus 3 cubic meters per liter— have to convert that into cubic meters there— and times by 9.8 newtons per kilogram and you get 699 newtons will be the buoyant force upwards. The force of gravity on the diver will be 72.8 kilograms times 9.8 newtons per kilogram which is 713 newtons down. So since gravity exceeds the buoyant force, the diver will sink although she will do so really slowly since the net force downwards is only 14 newtons.
