
In order to watch this solution you need to have a subscription.
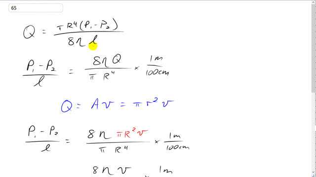
This is Giancoli Answers with Mr. Dychko. The volume rate of flow through the tube is gonna be given by Poiseuille's equation, π times radius to the power of 4 times the pressure difference divided by 8 times the viscosity of the blood times the length of the aorta and then we'll solve this for P 1 minus P 2 over l that will be the pressure difference per length— pascals per centimeter is what we are gonna work it out to— and we'll multiply both sides then by 8 times η divided by π times R to the 4 and then we get the pressure difference per length is 8 times viscosity times volume rate of flow divided by π times radius to the power of 4 and this is gonna give us units of pascals per meter and so we have to convert those meters into centimeters so multiply by 1 meter for every 100 centimeters and that will be pascals per centimeter. Volume rate of flow is the cross-sectional area of the aorta times the speed of the blood flow and that's gonna be πr squared times v so we substitute that in for Q and we have π's canceling here and R squared on the top cancels with two of the R's on the bottom leaving us with the pressure difference per length is 8 times η times v over R squared times this conversion factor. So that's 8 times 4 times 10 to the minus 3 pascal seconds— viscosity—times 40 times 10 to the minus 2 meters per second— speed of the blood— divided by 1.2 times 10 to the minus 2 meters— radius of the aorta—squared times 1 over 100 and that gives 0.89 pascals per centimeter pressure difference per length.
