
In order to watch this solution you need to have a subscription.
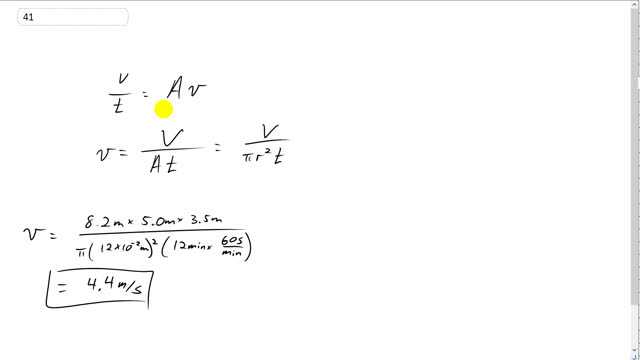
This is Giancoli Answers with Mr. Dychko. The volume rate of flow of air inside this air duct is equal to the area of the duct times this speed that the air is traveling through it. We can solve this for speed by dividing both sides by A and then switch the sides around and we have V is the volume divided by area of the duct times t on the bottom. So this volume is the volume of the room that has to be filled— that's the volume of air that's gonna be going through the duct as well— and so that's 8.2 meters times 5.0 meters times 3.5 meters all divided by πr squared times t which is π times 12 times 10 to the minus 2 meters squared times 12 minutes converted into seconds by multiplying by 60 seconds per minute and you get about 4.4 meters per second must be the speed of the air in the duct.
