
In order to watch this solution you need to have a subscription.
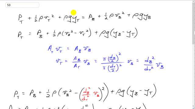
This is Giancoli Answers with Mr. Dychko. The pressure in the pipe at the top floor plus one-half density of water times the speed of the water through the pipe at the top floor squared plus density times g times the vertical position of the pipe at the top floor equals pressure at the bottom and this can be gauge pressure and if this is gauge pressure then that means this is also going to be gauge pressure because all Bernoulli's equation ever does is tells us how one pressure compares to the other. and so we can calculate pressure difference, you know, if we put this P B on the left side, it would be P top minus P bottom. Anyway so this just tells us how much does this pressure at the top differ from the pressure at the bottom so it's gonna be this pressure at the bottom plus all this stuff here. Now this stuff comes from moving this to the right side so we have v B squared minus v T squared and then factored out this one-half times ρ which is a common factor and then plus ρg times y B minus y T bring this to the right hand side as well making this y T term a minus factoring out the ρg common factor there. And that's all we can do with that because we don't know what the speed at the top is and so we turn to our equation of continuity to figure that out. This says that the volume rate of flow at any point along this pipe has to be the same. So we can find the speed at the top by dividing both sides by area of the pipe at the top and we get that speed at the top is cross-sectional area of the pipe at the bottom divided by cross-sectional area of the pipe at the top times the speed at the bottom. So the area is gonna be π times radius squared and I have diameter divided by 2 because the question gives us diameter's and so we'll put diameter over 2 all squared here. And the π's cancel and so does this divide by 2 squared cancel as well and so we have speed at the top is gonna be diameter of the pipe at the bottom squared divided by diameter of the pipe at the top squared times speed of the water flowing through the pipe at the bottom. So we can substitute that in for v T here and so that's d B squared over d T squared v B all squared and then it turns out we have this v B squared common factor between this term and this term which can be factored out and so we have P top is P bottom plus one-half ρv B squared times 1 minus d B to the power of 4 divided by d T to the power of 4 plus ρg times y B minus y T. Okay. So substituting in numbers, we have 3.8 atmospheres which we have to convert into pascals in order to add that to this stuff here because these terms are gonna be returning units of pascals and so we need to have each term in pascals so we have 3.8 atmospheres times 1.013 times 10 to the 5 pascals per atmosphere plus one-half times 1.00 times 10 to the 3 kilograms per cubic meter—density of water— times 0.78 meters per second— speed of the water in the pipe at the bottom—and we square that times 1 minus 5.0 centimeters to the power of 4 divided by 2.8 centimeters to the power of 4— these are the diameter's of the pipe at the bottom and then at the top— and we can keep the units as centimeters just because since we are dividing here, these units are gonna cancel anyway and so we end up with a dimensionless quotient. Anyway the result of this fraction is gonna have no units because these units are gonna cancel and so the only thing that's important is that the units are the same; we could have converted them to meters and that would be fine. So and then we have plus 1.00 times 10 to the 3 kilograms per cubic meter times 9.8 times negative 16 because this is y B minus y T so whatever the position at the bottom is, let's say it's zero, it's gonna be zero minus the position at the top which will be 16 meters then so it would be zero minus positive 16 so this gives us negative 16 in the end. And then we get this number in pascals which we convert back into atmospheres in order to make it easier to compare with gauge pressure at the bottom and so that's 2.2535 times 10 to the 5 pascals divided by 1.013 times 10 to the 5 and then we get 2.2 atmospheres. So on the calculator here, I have showed you everything that works out to this number here and then convert it into atmospheres. So that answers part of the question and then the other part is to find the speed of the water flowing through the pipe at the top. So that's... we have found a formula up here already for that. That's d B squared divided by d T squared times v T. So that's 5.0 squared divided by 2.8 squared times 0.78 and that gives 2.5 meters per second. So it's going faster through the pipe at the top.
Sir,
Perhaps this is pedantic, but shouldn't the formula for calculating V_t be (d_b^2/d_t^2) * V_b? You have V_t here instead of V_b.
Hello, I always like it when mistakes, big or small, are pointed out. I have written a correction in the quick answer section to clarify. Thank you again for noticing this.
All the best,
Shaun

