
In order to watch this solution you need to have a subscription.
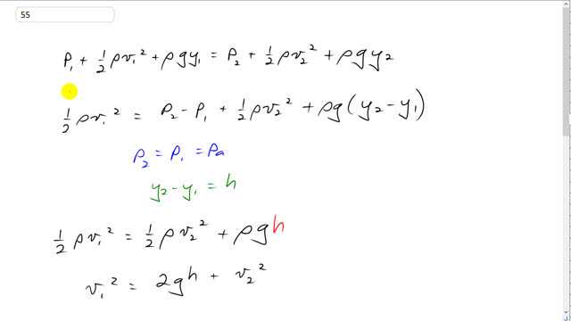
This is Giancoli Answers with Mr. Dychko. Here's Bernoulli's equation for this system: we have P 1 being the pressure at the open faucet at the bottom of the tank and that's gonna be atmospheric pressure because it's open to the atmosphere; P 2 is also gonna be atmospheric pressure for the same reason, the top surface of the tank is open to the air so its pressure is gonna be the same. So when we go P 2 minus P 1 that's gonna be zero because they are the same and I also moved this term to the right hand side as well and factored out the ρg from both of them. So we have density times g times y 2 minus y 1 and we have one-half density times v 1 squared left over on the left side of this equation and y 2 minus y 1 we are told is h and so we'll substitute that in. And then we can multiply both sides by 2 and divide by ρ and the ρ's cancel— it's a common factor for every term— and then we have v 1 squared equals 2gh plus v 2 squared; I switched these two terms around for no particularly good reason but I did it anyway so we have 2gh plus v 2 squared. So that is as far as we can go with Bernoulli's equation and now we need to turn to the equation of continuity in order to get rid of this v 2 squared term here and turn it into something that we... express it in terms of something that we know or at least, what we are gonna do is express it in terms of stuff that we know and the variable we are trying to find so that we have an equation with only one variable. So we have A 2 times v 2 equals A 1 times v 1 and divide both sides by the cross-sectional area of the top of the tank. And so we have speed at the top of the tank that the water is dropping is the cross-sectional area of the opening at the bottom divided by cross-sectional area at the top of the tank times the speed that it's coming out the opening at the bottom. So we substitute that in for v 2 and all that becomes squared and we have v 1 squared is 2gh plus A 1 over A 2 times v 1 all squared. And so we just squared that term so it's A 1 squared over A 2 squared times v 1 squared and then we need to collect the v 1 terms on the same side of the equation so we bring this to the left side and then factor out the v 1 squared— common factor between the two terms— so it becomes v 1 squared times 1 minus A 1 squared over A 2 squared that equals 2gh leftover on the right hand side. And then as last step, we divide both sides by this bracket and then take the square root of both sides and there we go: we have shown that considering the drop and speed at the top of the tank to be significant, this would be the formula for the speed of the water coming out of the faucet at the bottom of the tank.

