
In order to watch this solution you need to have a subscription.
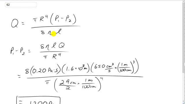
This is Giancoli Answers with Mr. Dychko. Poiseuille's equation says that volume rate of flow would be π times the radius of this oil pipe to the power of 4 times the pressure difference divided by 8 times the viscosity of the oil times the length of the pipe. So we can solve for pressure difference P 1 minus P 2 by multiplying both sides by 8ηl over πR to the power of 4 and we get the pressure difference is 8 times the viscosity times the length times the volume rate of flow divided by π times the radius to the power of 4. So we have 8 times 0.2 pascal seconds— viscosity for the oil—times 1.6 times 10 to the 3 meters, convert the kilometers into meters there, times by 650 cubic centimeters per second which we have to convert into cubic meters per second by multiplying by 1 meter for every 100 centimeters cubed and then divide by π times 29 centimeter— diameter—divided by 2 converted into meters by multiplying by 1 meter for every 100 centimeters and raise that result to the power of 4 and on the calculator it looks like this and that's about 1200 pascals pressure difference.
