In order to watch this solution you need to have a subscription.
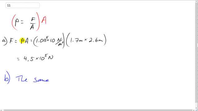
This is Giancoli Answers with Mr. Dychko. We can rearrange the pressure equals force divided by area formula and solve for force by multiplying both sides by A. So the force on the table top equals the pressure that it's experiencing due to the atmosphere times the table top area. So the atmospheric pressure is 1.013 times 10 to the 5 newtons per meter squared and then times by the table top area of 1.7 meters by 2.6 meters gives 4.5 times 10 to the 5 newtons. And on the other side of the table, you have the exact same formula for calculating the force that it experiences, pressure times area and the pressure will be the same because the thickness of the table is so small that even though you have gone slightly further down in the atmosphere, going down, you know, 10 centimeters isn't gonna make any difference to the air pressure that's significant so the force will be the same.
