
In order to watch this solution you need to have a subscription.
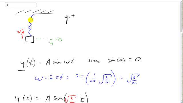
This is Giancoli Answers with Mr. Dychko. So, this mass passes through its equilibrium point that means y is zero at that point with a velocity in the positive direction. We'll take positive to be upwards since the mass is moving upwards. And that's at time zero. And so we can take the y position as a function of time this is a function notation here. This is not saying y multiplied by t. No. This is saying that y is a function of t. So, y is a position that depends on time and it equals the amplitude times sine of the angular speed times time. And I've chosen the sine function instead of cosine because when you have a sine of zero you get zero which is good. Whereas cosine of zero is 1. And we want to choose whichever function sine or cosine fits our criteria here. And our criteria is that at time equal to zero we should have this trig function with all of its arguments equaling zero which is the case with sine, OK? And then ω is angular velocity which is 2π times frequency. And frequency is 1 over 2 π times square root of spring constant over mass. And then the 2π's cancel there and you're left with square root k over m. And so we have the y position as a function of time is amplitude times sine of square root k over m in place of ω times t. And then we plug in our numbers, and we have 28 centimeters is the amplitude and multiplied by sine of square root 305 newtons per meter spring constant divided by 0.235 kilograms mass times time. And that works out to 28 centimeters times sine of 36 radians per second times time this square root 305 divided by 0.235 made 36. And then we have the y position is at its maximum when we have sine is 36 times t equals 1. And because, you know, since the function is this the range of this sine function is anywhere from between negative 1 and 1 and so that means we have sine 36t equals it's maximum of 1. And that means that when you take the inverse sine of both sides inverse sine of this side and inverse sine of this side. On the left side you end up with 36t. And on the right side, the inverse sine of 1 is π over 2. And I don't know how much details you want on this but if you, I always think about trig functions in terms of the unit circle. And where a circle has radius 1. I mean, you know to get really into this would require a whole video on trigonometry in mathematics but any point on this circle has X and Y coordinates equal to cosine of theta and Y coordinate of sine theta. And the Y coordinate will be 1 right here when you have an angle of π over 2 or 90 degrees. So, that's the way of saying that inverse sine of 1 is π over 2. Anyway. You could also plug into your calculator and get a decimal number for this too if you wanted. And so if 36t is π over 2 plus the period of the sine function which is 2π times however many periods like 0, 1, 2, 3 and so on. And then divide both sides by 36 and you have π over 72 plus π over 18 times n. And so that means you have y maximum when the time is 4.36 times 10 to the minus 2 seconds plus 0.175 times n, where n is a whole number from zero up to whatever you like. y minimum, the lowest position is when sine 36t equals negative 1, in which case 36t is 3π over 2. So, this unit circle, we're all the way down to this point down here now. And that is an angle of 3π over 2. And so divide both sides by 36 here and you get t is π over 24 plus π over 18 n. No surprise that that this worked out to be the same, this part that you add because that's the period of this oscillation. And so let's work out what the π over 24 is and that's 0.131 say. And then plus the same business from up there. And seconds plus 0.175n, where n is a whole number. Here we go.
How would we have modeled this question in a cosine equation?
Hi bikareem0,
To model this with a cosine function you would need to translate the usual cosine graph 1/4 period to the right in order for it to start at the origin, moving up. It needs to be moving up at the origin since the initial velocity is positive. The period of is . Translating to the right 1/4 period means the equation will be , giving a final answer of . Hope that helps!
The object is first moving upward. So tmin = 4.36 * 10^-2 + 0.175n?
Thank you for the comment jzeng36. You're making a good point about a confusion with the wording - by I meant the time at which occurred, but the question is asking for the times at which the spring is shortest and longest. I have re-labeled the times with comments to clarify.
All the best,
Shaun
