
In order to watch this solution you need to have a subscription.
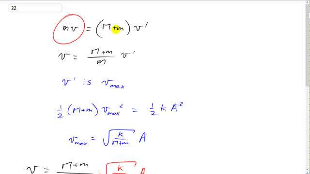
This is Giancoli Answers with Mr. Dychko. Based on momentum conservation they total momentum before the bullet collides with a block is going to be the mass of the bullet times its initial speed before collision, v. And then after the collision, this is a completely inelastic collision, there's gonna be 1 mass of mass, block mass plus the bullet combined multiplied by their combined speed, v prime. So, this would be the total momentum after the collision will be the mass of the block and the bullet together times their common speed, they're moving together with v prime. So, we can solve for v by dividing both sides by mass of the bullet and we have v is the total mass divided by mass of the bullet times v prime now, this v prime is the speed that the block and bullet will be moving at the equilibrium position. So, it's v max when we speak about simple harmonic motion, is v prime speed after collision, in momentum terms is the v max when we're talking about simple harmonic motion. So, we have 1/2 times the total mass times v max squared is the total energy of the system expressed in terms of kinetic energy when there's 0 displacement at the equilibrium position. That equals 1/2 k times amplitude squared and then we can solve this for v max and then divide both sides by the total mass and then square root both sides and you get v max is square root k over total mass times amplitude. So, we'll substitute this in place of v prime in this equation here copied down here. So, we have the speed before collision is the total mass divided by mass of the bullet times this v max square root k over total mass times A, amplitude. And this M plus m divided by square root M plus m, and that gives square root M plus m which we can put underneath the square root sign with the k. So, we have A over m times square root k times total mass. So, that's 9.4 times 10 to the minus 2 meters amplitude divided by 7.87 times 10 to the minus 3 kilograms mass of the bullet times 1602.7 newtons per meter spring constant times the total mass, 4.148 kilograms plus the bullet. And that gives 312.5 meters per second must be the muzzle velocity of the gun.

