
In order to watch this solution you need to have a subscription.
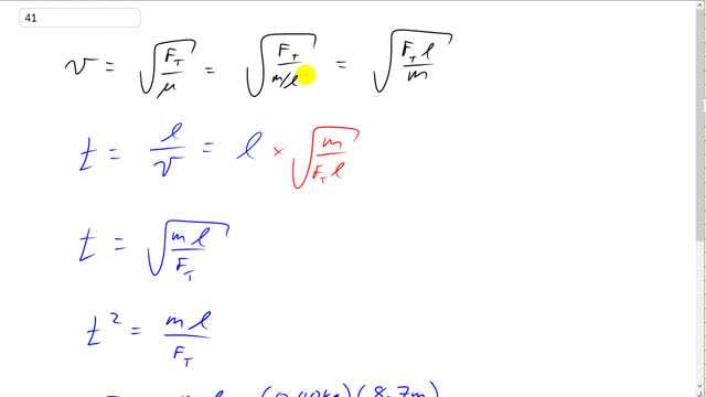
This is Giancoli Answers with Mr. Dychko. The speed of his transverse wave on a cord equals the square root of the tension in the cord divided by its mass per unit length, μ can be replaced by mass divided by length and multiply top and bottom by l and the l's cancel on the bottom, leaving us with tension force times l over m all square rooted is the speed. And that's useful because the time it takes to go from one end of the court to the other is going to be the length of the court divided by that speed. And so we have l multiplied by the reciprocal of this instead of dividing by it, we'll multiply it by its reciprocal. So, we have l times square root m over FT l. And this works out to square root m l over FT because the l divided by square root l becomes just square root l which we can then put underneath the square root sign if we like. So, square both sides and you get t squared is ml over FT. And then multiply both sides by FT over t squared. And end up with tension forces ml over t squared and that's 0.4 kilograms times 8.7 meters divided by 0.85 seconds squared which is 4.8 newtons of tension.
