
In order to watch this solution you need to have a subscription.
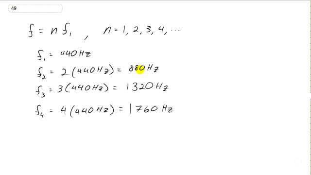
This is Giancoli Answers with Mr. Dychko. The harmonics are integer multiples of the fundamental. So, the fundamental is the first harmonic and we're told that's 440 hertz. So, the second harmonic is 2 times 440 which is 880 hertz. The third harmonic is 1320 hertz. And the 4th harmonic is 1760 hertz, 4 times the fundamental.
