
In order to watch this solution you need to have a subscription.
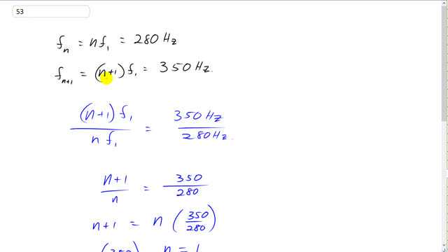
This is Giancoli Answers with Mr. Dychko. The frequency in the first case is n times the fundamental which is 280 hertz and then the next overtone is going to be n plus 1 times the same fundamental which is 350 hertz. And we can divide these 2 left sides here and we can take n plus 1 times f1 divided by n times f1. And that's going to be 350 divided by 280. So, we're dividing corresponding sides of the equation. So, we divide this by this on the left. Then we divide this by this on the right side. And then the f1's cancel and we're left with n plus 1 over n is 350 over 280. And then multiply both sides by n and you get n plus 1 is n times 350 over 280 bring this n to the right side and makes it minus then we have and then switch the sides around. We have n times 350 over 280 n equals 1 factor out the n becomes n times 350 over 280 minus 1 equals 1. Divide both sides by this bracket. And we're solving for n, is 1 over 350 over 280 minus 1 which equals 4. And so this frequency here it turns out to be f subscript 4. So, f4 is 4 times f1 which is 280 hertz. And so divide both sides by 4. And 280 over 4 is 70 hertz.
