
In order to watch this solution you need to have a subscription.
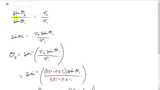
This is Giancoli Answers with Mr. Dychko. The law of refraction says that the sine of the angle of refraction divided by sine of angle of incidence equals the wave speed in the second medium divided by the wave speed in the first medium. And we can multiply both sides by sine θ1 to solve for sine θ2. And so it's v2 sine θ1 over v1. And then take the inverse sine of both sides to solve for the angles of refraction, θ2, the angle in the second medium so, that's the inverse sine of v1 sine θ1 over v1 or v2 sine θ1 over v1. So, the speed of sound we're told is given by this formula 331 plus 0.6 times the temperature in the air. And this is going to be temperature 2, the cold air. And this is 331 plus 0.6 times temperature 1 in the initial warm air. And you plug these numbers into your calculator inverse sine of 331 plus 0.6 times negative 15 degrees times sine 25 divided by 331 plus 0.6 times 15 is 24 degrees for the angle of refraction.
