
In order to watch this solution you need to have a subscription.
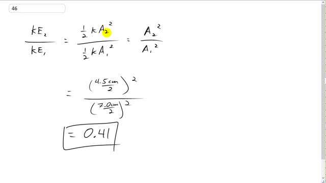
This is Giancoli Answers with Mr. Dychko. Maximum kinetic energy equals the maximum potential energy too. So, we can think of a kinetic energy maximum being 1/2 k times amplitude squared. And so kinetic energy in case 2 is 1/2 k amplitude 2 squared. And in case 1 that's 1/2 k amplitude 1 squared. And these 1/2 k's cancel, leaving us with amplitude 2 divided by amplitude 1 squared. So, amplitude 2 is 4.5 centimeters. And since this is peak to peak distance, we'll have to divide that by 2, the amplitude. Although it doesn't really matter because we do the same to the top and bottom. It also doesn't matter that we keep it as centimeters because these units are gonna cancel anyway and the only important thing is that they're the same units. So, if 4.5 over 2 squared divided by 7.5 over 2 squared. And that gives 0.41 is the factor by which the kinetic energy changes.
