
In order to watch this solution you need to have a subscription.
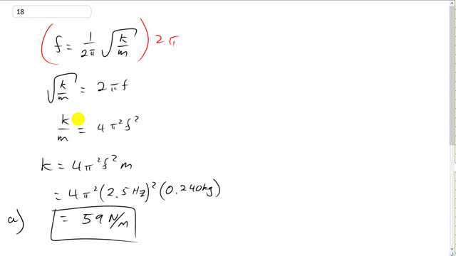
This is Giancoli Answers with Mr. Dychko. Frequency is 1 over 2π times the square root of the spring constant divided by mass. And then we can multiply both sides by 2π and get square root k over m is 2π f. And then square both sides and k over m is 4π squared f squared. Multiply both sides by m and you solve for k 4π squared f squared times m. So, that's 4 times π squared times the frequency of 2.5 hertz squared times 0.2 for kilograms. And that's 59 newtons per meter or spring constant. The total energy is 1/2 spring constant times amplitude squared. So that's 1/2 times 59.218 newtons per meter, and using the unrounded answer there to avoid intermediate rounding error. And then times by 4.5 times 10 to the minus 2 meters, and square that amplitude and we get 6.0 times 10 to the minus 2 joules.
