
In order to watch this solution you need to have a subscription.
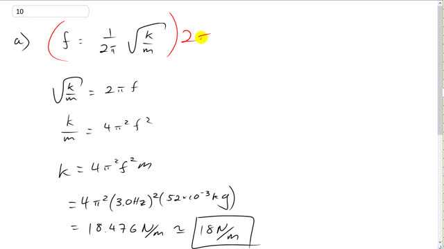
This is Giancoli Answers with Mr. Dychko. We know the frequency of oscillation is 1 over 2π times square root of the effective spring constant divided by the mass of the balsa wood block. And then we can multiply both sides by 2π and that gives as square root k over m equals 2π f after we switch the sides around. And then square both sides, and we get k over f is 4π squared f squared. And multiply both sides by m and you get k 4π squared f squared times m. So, that's 4π squared times 3 hertz square times 52 times 10 to the minus 3 kilograms. And that gives about 18 newtons per meter is the effective spring constant. For part B, when you have this partially filled water bottle, you could expect the same kind of spring constant because it has the same size and shape of the balsa wood block. And so it kind of displaces the water in the same way as a balsa wood block would. And so you expect the same sort of buoyancy force behavior. I mean, the buoyancy force is gonna be different but it's gonna behave the same way with respect, like in proportion to the size of the container because it's the same size as the balsa wood block was. Anyway. So, k is gonna be the same. I mean, the other thing you could say, 'Well, there's no other way to answer this question unless you say the f is the same.' so, f is 1 over 2π times square root of 18.476 newtons per meter divided by this heavier mass of 0.28 kilograms. And that's going to be 1.3 hertz.
