
In order to watch this solution you need to have a subscription.
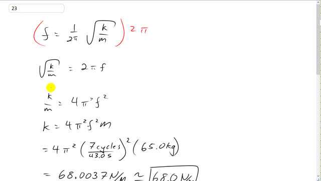
This is Giancoli Answers with Mr. Dychko. Frequency is 1 over 2π times square root of spring constant divided by mass and we could solve this for the spring constant by multiplying both sides by 2π and then square both sides to get k over m is 4π squared f squared then multiply both sides by m and you get spring constant is 4π squared frequency squared times mass. So, the frequency is the number of cycles per second. So, there's 7 cycles for every 43 seconds and we squared that times by 4π squared and then times by 65 kilograms and that gives about 68.0 newtons per meter for the spring constant. Now, when the bungee jumper finally comes to rest their position is the unstretched length of the bungee cord, x naught, plus this Δx of stretching and this Δx of stretching results in a spring force of k Δx upwards that's the spring force upwards. And that has to equal the weight of the person down, mg. And so we can solve for this Δx mg over k by dividing both sides by k. And this total distance here is x naught, the unstretched length, plus Δx. And that total x is 25.0 meters we're told. So, subtract Δx from both sides and you get x naught is 25 minus Δx which is mg over k. And so that's 25.0 minus 65 times 9.8 divided by 68.0037 newtons per meter that we found out before. And that gives 15.6 meters is the unstretched length of the bungee cord.
Why if I set mg-kx =0 is not correct? I would set x= 25 m to find k
Hi riccardo, thank you for the question. The "x" in "-kx" isn't position, but rather the amount of stretching. A more explicit way to write Hooke's Law is where the "delta" is a reminder that it's the change in position of the bungee cord compared to its un-stretched length. 25 meters is the un-stretched length plus the amount of stretching. Since the question doesn't explicitly tell us how much the bungee cord is stretched, we can't use .
Hope this helps,
Shaun
