
In order to watch this solution you need to have a subscription.
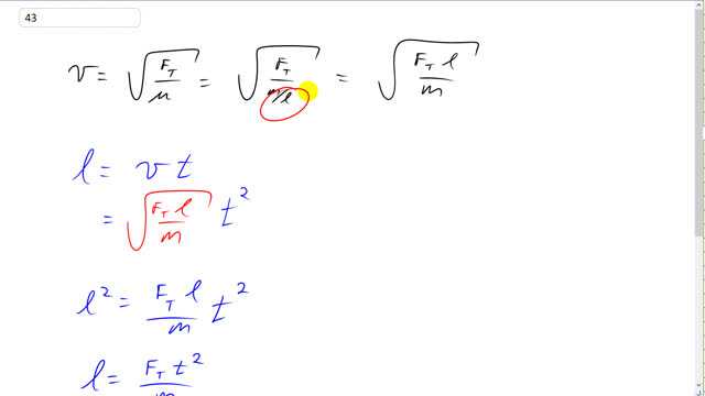
This is Giancoli Answers with Mr. Dychko. The speed of the wave on the string is going to be equal to the square root of the tension in the string divided by its mass per unit length and μ can be replaced by m over l and multiply top and bottom by l here. And the l’s cancel in the bottom, leaving us with square root tension force times length of the string divided by its total mass. Now, the distance between the children is the length of the string and that equals the speed times the time. And we'll replace the speed with square root FT l over m. And that... And then we can square both sides in the next step, and that gives l squared on the left and it gives FT l over m t squared on the right hand side. And then divide both sides by l and you get l is FT times t squared over m. And that's the tension of 35 newtons times 0.55 seconds squared divided by 0.5 kilograms and that gives about 21 meters.
