
In order to watch this solution you need to have a subscription.
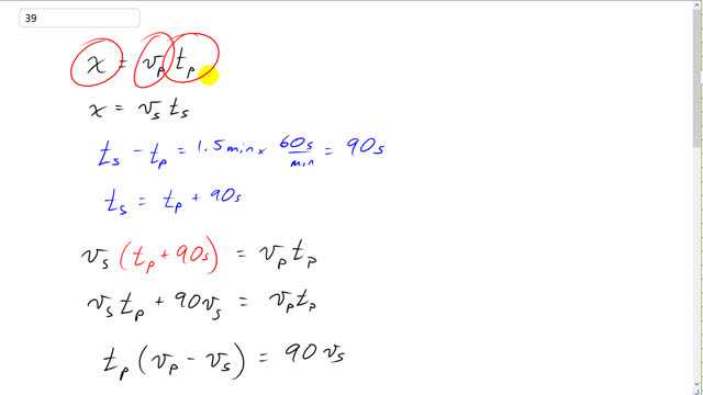
This is Giancoli Answers with Mr. Dychko. The distance to the epicenter is going to be the speed of the primary wave times the time it took for the primary wave to get from the epicenter to the earthquake recording station, the seismograph. And the same distance can be covered by the secondary wave and it'll be traveling at distance with secondary wave speed multiplied by the secondary wave time. Now, we don't know either of these times, the primary wave or the secondary wave but we do know their time difference. It takes 1.5 minutes between initially detecting the primary wave to then detecting the secondary wave and that's 90 seconds time difference. So, the secondary wave took 90 seconds more than the primary wave to arrive at the seismograph. So, we can substitute in tp plus 90 seconds in place of ts. And so we have vs times ts writing tp plus 90 instead equals vp times tp because both of them are equal to x. And so these 2 products are equal to each other and distribute the vs into the bracket there, we get vs times tp plus 90 times vs equals vp times tp. And then put the 2 primary wave time terms on the same side. And so this is going to be minus vs tp on the right side then switch the sides around and factor out the tp. And we get time for the primary wave equals primary wave speed minus secondary wave speed equals 90 times secondary wave speed. And then divide both sides by this bracket. And you get tp is 90 vs over vp minus vs. So, that get substituted back into our distance formula. I'm gonna write 90 vs over vp minus vs in place of tp here. And so the distance to the earthquake is gonna be 90 seconds times 8.5 kilometers per second speed of the primary wave times 5.5 kilometers per second speed of the secondary wave divided by 8.5 minus 5.5. And that gives about 1400 kilometers since I left these unit as kilometers per second our final answer is gonna be in kilometers. And the seconds in the bottom here will cancel with the seconds there, so that works out nicely too. And this one station is not enough to locate the earthquake epicenter, it can only establish a circle on which the earthquake happened. So, it knows that the earthquake was 1,400 kilometers away but it doesn't know in which direction that is. There'd have to be a second station would help narrow down to 2 possibilities because it would have a circle of around it 1,400 kilometers away. And so like that. And so with a second station you'd be able to narrow it down to either this place over this place. And then you'd have to have a third station to narrow it down precisely.
