
In order to watch this solution you need to have a subscription.
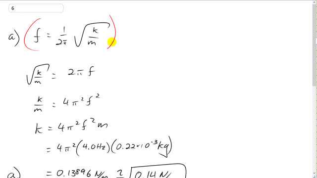
This is Giancoli Answers with Mr. Dychko. The frequency of oscillation of this fly in the spiderweb is 1 over 2π times the square root of the spring constant divided by the mass of the fly. And we can multiply both sides by 2π and that solves for the square root of k over m, that equals 2π times f, f switches side around. And then square both sides and you get k over m equals 4π squared f squared and then multiply both sides by m. And he if the spring constant is 4π squared f squared times mass. So, that's 4 π squared times 4 hertz. Times 0.22 times 10 to the minus 3 kilograms. And that gives 0.14 newtons per meter is the spring constant. And then for part B you have a fly of 44 grams, so that's 0.44 times 10 to the minus 3 kilograms, and the same spring constant cause it's the same web. Then you plug into this frequency formula, 1 over 2π times the square root of that k over m. And you get about 2.8 hertz.
I think your K constant should be 0.035 instead...
Remember to square the frequency
