
In order to watch this solution you need to have a subscription.
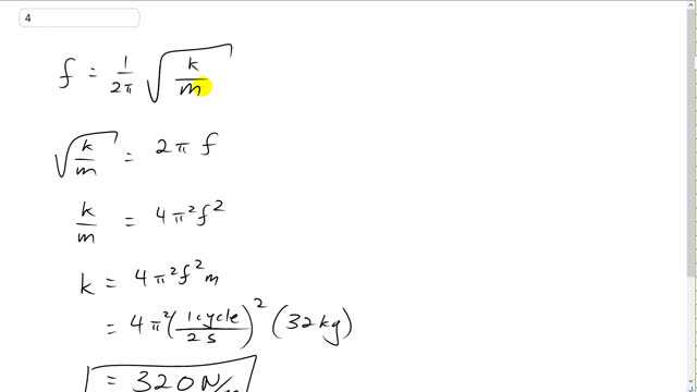
This is Giancoli Answers with Mr. Dychko. The frequency of oscillation on this child in the pogo stick is 1 over 2π times the square root of the spring constant divided by the child-pogo stick combined mass. We'll assume that the pogo stick has negligible mass and so m will just be the mass of the child. Multiply both sides by 2π and switch the signs around and we get square root k over m as 2π f and then square both sides and get k over m in the left equals 4π squared f squared on the right. And then multiply both sides by m. And you get k is 4π squared f squared times m. And the frequency is one cycle for every 2 seconds. And that gives you cycles per second or hertz in other words. I could have used the period formula, maybe that would've been a little bit better but in any case it doesn't really matter. You could also think of this f as being a reciprocal of period. And so that's basically what we have here. We have one cycle divided by the time for one cycle which is 2 seconds. And times 32 kilograms. And all that works out to about 320 newtons per meter for the spring constant.
My answer comes out to 316N/m can you show how to input into the calculator? I like when you show the calculator because this assists me in using the calculator and making sure I have the equation right.
Hi dshadowalker, thanks for the question. I get 316 N/m too! :) The difference is that I've rounded it to two significant figures, which explains why the answer is . Yes, showing calcs. with the on-screen calculator is nice, but it was getting very time consuming doing that so I included it only for a few chapters.
Best wishes with your studies,
Mr. Dychko
