
In order to watch this solution you need to have a subscription.
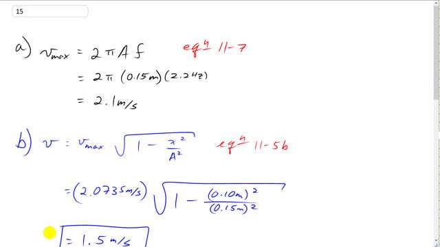
This is Giancoli Answers with Mr. Dychko. The maximum velocity is 2π times mmplitude times frequency and that's given by equation 11-7. So, that's 2π times the amplitude of 0.15 meters times the frequency of 2.2 hertz which gives 2.1 m/s maximum speed. The speed at any position is the maximum speed times square root of 1 minus the position squared divided by the amplitude squared, that's equation 11-5B. So, that's maximum speed taken from part A 2.0735 meters per second times square root of 1 minus 0.1 meter squared divided by 0.15 meters squared. And that gives 1.5 meters per second is the speed at position of 0.1 meters the total energy is 1/2 mass times the maximum speed squared, that's 1/2 times 0.25 kilograms times 2.0735 meters per second squared. And that gives 0.54 joules. And the equation for its position as a function of time is using, can be using cosine since we're told that at time equal to 0 we have x is the maximum, and that's true for cos function. Cos function looks like this, where you have at x equals 0 we have at its maximum of 1. So, amplitude times cos of ωt is going to be the position as a function of time and ω is at 2π f. And so we have 0.15 meters for amplitude times cosine of 2π times 2.2 hertz for frequency times time and 2 times 2.2 is 4.4. So, we have function of time, the position is 0.15 meters times cos of 4.4π times t.
