
In order to watch this solution you need to have a subscription.
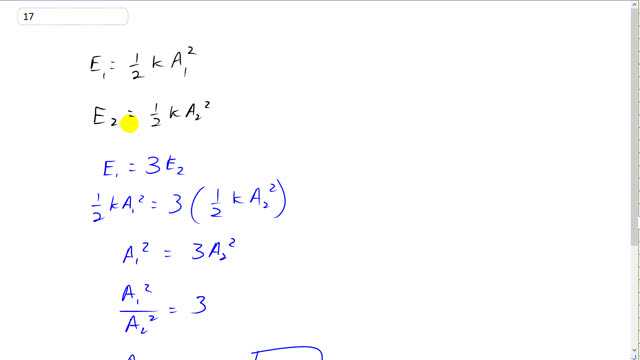
This is Giancoli Answers with Mr. Dychko. The total energy for the high energy oscillation is E1 which is 1/2 times spring constant times its amplitude 1 squared. And in the second case, total energy is 1/2 k times A2 squared. They have the same spring constants. And we're told that E1 is 3 times the total energy of oscillation 2. So, that's 1/2 kA1squared equals 3 times 1/2 kA2 squared, substituting for the total energies in each case there. And the 1/2 k’s cancel on both sides and we're left with A1 squared equals 3 times A2 squared. And then divide both sides by A2 squared. And you get A1 squared over A2 squared equals 3. Take the square root of both sides and you get the ratio of the amplitude is square root 3 or 1.7.
