
In order to watch this solution you need to have a subscription.
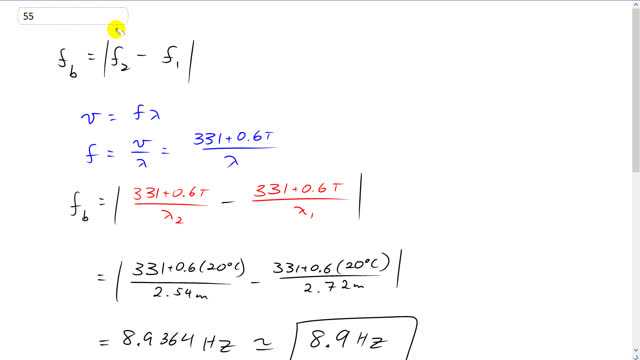
This is Giancoli Answers with Mr. Dychko. The beat frequency will be the difference between the two frequencies. And I put absolute value signs around it just to say that doesn't matter whether the difference is positive or negative, we're just going to make it positive. So, the frequency will be the wave speed divided by its wavelength by defining this formula by both sides by λ. And so the wave speed will be 331 plus 0.6 times the temperature of the air in Celsius divided by the wavelength. So, the beat frequency be the absolute value of 331 plus 0.60 over wavelength 2 minus 331 plus 0.60 divided by wavelength 1. So, it's 331 plus 0.6 times twenty degrees Celsius divided by 2.54 meters minus 331 plus 0.6 times 20 degrees Celsius divided by 2.72 meters. And that gives about 8.9 hertz and that'll be the beat frequency. So, this is the frequency at which you'll notice the volume oscillating about 9 hertz. And then the distance between locations where you have constructive interference or destructive interference and the distance between maxima or the distance between minima will be the wavelength of the beat frequency because the superposition looks kind of like this. Where this is... These are the beats that we're seeing here and there's maxima here and here. And this is the beat wavelength. So, we have the wave speed divided by the frequency of the beats. So, that's 331 plus 0.6 times twenty degree Celsius divided by 8.9364 hertz which is about 37 meters.
