
In order to watch this solution you need to have a subscription.
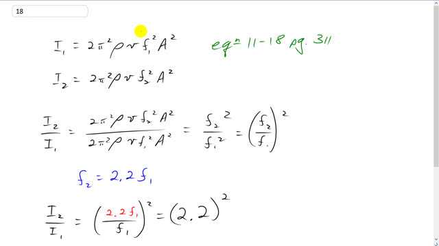
This is Giancoli Answers with Mr. Dychko. Back in Chapter 11, we saw this equation 11-18 on page 311 which says intensity equals 2π squared times density of the medium that the waves traveling through times the wave speed times a frequency squared times its amplitude squared. So, you know, all this stuff except for the frequency doesn't really matter, it's just important to notice that intensity is proportional to frequency squared. So, intensity 1 would be all this with frequency 1 squared and intensity 2 would be the same stuff with frequency 2 squared. No need for subscript 2 on the amplitude or on the speed or on the density because it's the same medium that is traveling through with the same speed and has the same amplitude we're told. So, intensity 2 divided by intensity 1 is 2π squared ρ v times f2 squared, amplitude squared divided by the exact same thing with f1 squared. And so everything cancels except for the f2 squared over the f1 squared which is f2 over f1, all squared. And we're told that frequency 2 is 2.2 times frequency 1. And that makes, and that makes this I2 over I1 equal to 2.2 f1 all over f1 squared, and the f1's cancel, meaning that the ratio of intensities is the, you know, the factor by which the frequencies are different squared. So, 2.2 squared makes 4.8.
