
In order to watch this solution you need to have a subscription.
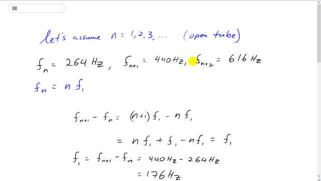
This is Giancoli Answers with Mr. Dychko.. So, we know that 264 hertz, 440 hertz and 616 hertz are successive frequencies because the question tells us that no other frequencies in between or possible. So, we don't know whether it's an open tube or a closed tube. So, let's just take one assumption. We'll assume that it's an open tube and see if that leads to a good result. And if it's an open tube, that means the second. Well, as, you know, here's the first overtone that we know about. It's not in the first overtone because we don't know how this compares to the fundamental but this is the first harmonic that we know about, 264 hertz, and the next one is 440 hertz. And if it's an open tube, that means this is fn plus 1. And this would be fn plus 2. And any of these frequencies are going to be n times the fundamental, where n is a nice whole number 1, 2, 3, 4 and so on. If this is in fact an open tube. So, the, some harmonic minus the harmonic before it. So, that's fn plus 1 minus fn is going to be n plus 1 times f1, that's substituting n plus 1 into here. And minus n times f1. And expanding this we get, n f1 plus f1 minus f1. And this just makes f1 so, this tells us a way to find the fundamental frequency. So, the fundamental frequency is fn plus 1 minus fn. So, that's a 440 hertz minus 264 hertz which is 176 hertz, maybe that's the fundamental, it would be if this was an open tube, in which case we could calculate any frequency by going f nth harmonic equals n times the fundamental. So, let's solve for n and see what it is. And if it's not an integer that means this will not be an open tube. So, we'll divide both sides by f1 here. We get n is fn over f1. So, that's 264 hertz divided by 176 hertz which is 1.5. And that's a contradiction of our assumption this is proof by contradiction or proof by counter example, we're showing that by this example that our assumption can not be true. So, this is not an open tube because n is not an integer or natural number. So that means it's a closed tube and in which case we say that the nth harmonic is 264 hertz and then the next harmonic is fn plus 2 and fn plus 4 because these subscripts here are gonna be... Well, it's going to be 1, 3, 5, 7 and so on. And they're going to differ by 2. So, you know, the 5 differs from 3 by 2 and then 7 needs, you know, you have to add 2 more to 5. So, whatever number you have here you have to add 2 to get to the next one. And so if you have fn plus 2, to get to the next harmonic you need to add 2, so, fn plus 4. So... Now we're gonna find the fundamental and we have fn plus 2 minus fn equals n plus 2 to f1 minus n times f1. And expand this into the brackets there and you get n times f1 plus 2 f1 minus n f1. And this gives you 2 times f1 because these have opposite signs and they're otherwise the same, so, they cancel. And so that means 2 f1 equals fn plus 2 minus fn. It means 2 times the fundamental is the difference between successive harmonics. Here's what this is saying. So, f1 is going to be the difference between success of harmonics divided by 2. And so that's 440 hertz minus 264 hertz, those are two successive harmonics. Divide that by 2, you get 88 hertz as the fundamental. And you can verify this is correct by taking any of these harmonics and dividing it by 88, and you'll find that you get an odd integer or an odd natural number.
