
In order to watch this solution you need to have a subscription.
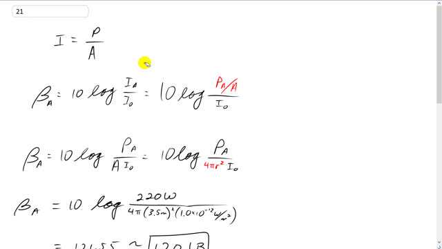
This is Giancoli Answers with Mr. Dychko. We'll calculate the sound level by going 10 times logarithm of the intensity of the amp divided by the reference intensity at the threshold of hearing. And we know that intensity is power divided by area. So, we can substitute this p over A in place of intensity here. And so for amplifier A, the intensity is the power output of amplifier A divided by some area over which the sound is distributed. And this area is going to be the surface area of a sphere centered on the speaker. And the sphere is going to have a radius of 3.5 meters because that's the distance we are from the speaker. So, the decibel reading for amplifier A will be 10 log of PA over I naught, you know, multiply top and bottom here by A and A cancels on the top and appears in the bottom here. And then that makes a 10 log of PA over 4π r squared I naught, where I've made a substitution for the area of the sphere centered on the speaker. And so sound level a is gonna be 10 times logarithm of 220 watts power output of amplifier A divided by 4π times 3.5 meters squared times 1.0 times 10 to the minus 12 watts per square meter, which gives about 120 decibels. For amplifier b, the cheaper one, with only a 45 watt power, everything else is the same, we work it out to 110 decibels. Now, sound is perceived to be twice as loud if the difference between the sound levels is about 10 decibels. And, well, I guess if you look at just the rounded numbers here, it looks like it there might be, it might be twice as loud because the sound levels are about 10 decibels different, but really we should compare the unrounded numbers so that we don't have intermediate rounding error. So, if you take 121.55 minus 114.66, it's about a 7 decibel difference. So, the more powerful amp will not seem twice as loud as a cheaper amp since this isn't quite 10 decibel difference.
