
In order to watch this solution you need to have a subscription.
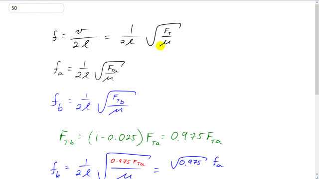
This is Giancoli Answers with Mr. Dychko. Frequency on a string for the fundamental is the speed of the wave in the string divided by 2 times its length. And this wave speed is the square root of the tension in the string divided by its mass per unit length. And the frequency for the violin string a it's going to be 1 over 2 times the length times the square root of the tension in the string a divided by mass per unit length. And the frequency in violin string b which is going to have its tension reduced is going to be 1 over 2 times the same length times the square root of this new tension force, string b, divided by the same mass per unit length. So, the tension force in the string b it's going to be 2.5% less. So, that means 1 minus 0.025 will be the factor by which it's different from the tension in a. So, this is a 2.5% reduction there. And so that makes it 97.5% of the tension in a. And so we substitute that in for tension b. And, so frequency b is 1 over 2 l times square root of 0.975 tension in string a divided by mass per unit length. And all of this is fa. And so the only difference is that it's getting multiplied by square root 0.975. So, frequency in string a is 294 hertz multiplied by 0.975 square rooted, and you get 930.3 hertz. And so the beat frequency when both strings are played at the same time will be the difference in those frequencies. So, that's 294 hertz minus 290.3 hertz which is about 3.7 hertz beat frequency.
