
In order to watch this solution you need to have a subscription.
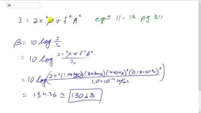
This is Giancoli Answers with Mr. Dychko. Back in Chapter 11 on page 311, there's equation 11-18 which says the intensity of a wave is 2π squared times the density of the medium that is traveling through times the wave speed times its frequency squared times its amplitude squared. So, we can find the sound level of the sound then by going 10 times logarithm of this intensity substituted in for I. Divided by the reference intensity at the threshold of hearing. And so we have 10 log of 2π squared ρ v f squared A squared over I naught. And so we plug in numbers and we get 10 times logarithm of 2π squared times density of air, 1.29 kilograms per cubic meter times the speed of sound, 343 meters per second times its frequency of 440 hertz squared times its amplitude of 0.13 millimeters which we convert into meters by multiplying by 10 to the minus 3, then square that, divided by 1.0 times 10 to the minus 12 watts per square meter intensity at the threshold of hearing. And this works out to about 130 decibels.
