
In order to watch this solution you need to have a subscription.
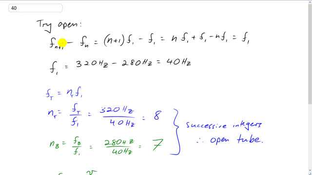
This is Giancoli Answers with Mr. Dychko. So, we don't know whether this tube is closed or open. So, we'll just try one and see if things work out and if not then it must be the other. Let's try try it as an open tube first in which case fn plus 1 minus fn is going to be n plus 1 times the fundamental minus the fundamental. And then if you distribute the f1 into the brackets here, we have n times f1 plus f1 minus... There should be a n right there. Minus n f1. And that makes f1 which is a fancy way of saying that the fundamental is the difference between 2 successive harmonics for an open tube. And that makes the fundamental equal to 320 hertz 280 hertz which is 40 hertz. We're assuming that that's the fundamental. And so now we'll do some calculations and check if that assumption is right. So, if it's an open tube then this is the fundamental and the some other harmonic is the top harmonic, top frequency is the integer for that top frequency times the fundamental. And we can solve for nT on top by dividing both sides by the fundamental. And n top is the fundamental divide, or, sorry, the frequency at the top minus fundamental, we divided by fundamental. So, that's 320 hertz divided by 40 hertz which is 8. So, this is a good sign that this worked out to a nice integer. Now, if the next frequency is the next integer or beside 8, either a 7 or 9, then that means that we're on the right track by saying this is an open tube and so on. So, the integer for the bottom frequency is the bottom frequency divided by the fundamental, that's 280 hertz divided by 40 which is 7. So, since these are successive integers, we're on the right track by saying this is an open tube. And in which case. This is the fundamental frequency formula for an open tube. And multiply both sides by l and divide both sides by f1. And you get l is the wave speed divided by 2 times the fundamental frequency. Since the temperature 23 degrees for this air, the wave speed is 331 plus 0.6 times 23, and divide that by 2 times the fundamental of 40 hertz. And this gives a length required of about 4.3 meters.
