
In order to watch this solution you need to have a subscription.
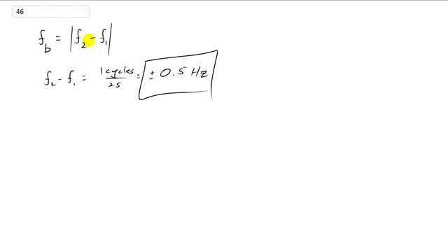
This is Giancoli Answers with Mr. Dychko. The beat frequency that the piano tuner hears is the absolute value of the difference in the frequencies. And it's absolute value because it's not clear whether frequency 2 is higher or lower. The beat frequency doesn't tell you. So, the beat frequency is going to be 1 cycle for every 2 seconds that they're hearing which is going to be plus or minus 0.5 hertz.
